7 Foundations of Physics

Download Chapter

DOI

10.34663/9783945561485-08

Citation

Omodeo, Pietro Daniel and Renn, Jürgen (2019). Foundations of Physics. In: Science in Court Society: Giovan Battista Benedetti’s Diversarum speculationum mathematicarum et physicarum liber (Turin, 1585). Berlin: Max-Planck-Gesellschaft zur Förderung der Wissenschaften.

In this chapter we analyze Book 4 of the Diversae speculationes, entitled Disputationes de quibusdam placitis Aristotelis (Disputations on Some Opinions Held by Aristotle). We will refer to this section as Physical Disputations. Benedetti here developed his theory of motion and clarified his physical conceptions by means of a discussion and criticism of Aristotle’s physics. He dealt with fundamental concepts such as place and time. Moreover, it is here that the interdependency of physics and cosmology in his conception most clearly emerges.

7.1 Sections of the Physical Disputations

The Physical Disputations are a discussion of and an objection to Aristotle’s theses on local motion and cosmology as presented in Physics and De caelo, and partly also in Meteorologica and Metaphysica. Benedetti does not limit himself to criticism but rather seeks to provide a new approach to and foundation of physics and cosmology, beginning with the theory of motion. He calls his approach mathematical (inconcussa mathematicae philosophiae basis). In actual fact, his conceptual tools for the treatment of motion are principally derived from Archimedes’s Floating Bodies and Euclid’s Book 5 on proportions. As we have seen, the reader of Benedetti’s Diversae speculationes is provided with a brief book dedicated to Book 5 of Euclid’s Elements, directly following the Physical Disputations.1 Benedetti moreover reworks and transforms basic concepts of physics, such as place and time, and propounds anti-Aristotelian natural views such as spatial infinity and the existence of the void. His treatment culminates with cosmological speculations, including a defense of the Copernican system.

One can conveniently subdivide the Physical Disputations into five sections (see table 7.1 below). The first twelve chapters are a lengthy discussion of Aristotle’s Physics IV 8. This section deals with the ratio of velocities of bodies moving through different media or the void. Secondly, from chapter 13 to chapter 18, Benedetti challenges Physics VII 5 on further problems linked with the theory of motion. The third subdivision (chapters 19 to 22) deals with basic philosophical matters (the void, infinity, place, and time). This section is extremely important for an overarching understanding of Benedetti as it connects the investigation of motion with a general reform of natural philosophy. Whereas Drake and Drabkin, in Mechanics in Sixteenth-Century Italy, translated the first two subdivisions (chapters 1–18), they neglected the foundational one, except for chapter 19 on the void. Their choice to expunge this part of the Physical Disputations deprived the English-speaking readership of some of the most daring pages in Benedetti’s work.

Another subdivision (chapters 23–26, entirely translated in Drake and Drabkin 1969) deals with local motion and the shortcomings of the Aristotelian theory of natural places. The fifth and last subdivision, only partly included in the English edition, presents cosmological ideas. It deals with the “sphere” as a geometrical-cosmological figure, as well as with the (apparent) motion of the sun, with stars, meteorological aspects linked to the sun, the propagation of light in the cosmos, and other issues connected with astronomy in a broad sense. The Copernican system is discussed in the second part of this last section (chapters 35 to 39), along with other innovative theses such as the plurality of inhabited worlds akin to the earth and the reciprocity of the observational points in the universe.

We will concentrate on sections 1 (on motion), 3 (on the foundations of physics), and 5, part 2 (on cosmology). As one sees from our overview (table 7.1), the Physical Disputations are no less complex and heterogeneous than the volume of which they are part, the Diverse speculationes. Therefore, we will review Benedetti’s arguments in enough depth to enlighten the thematic interdependency and his approach in general, deliberately leaving aside an excessive analysis of details that would not help to understand his intellectual endeavor as a whole.

Sections and their subjects Chapters Details Presence in Drake and Drabkin 1969
1. Phys. IV 8 §1–12 Discussion on the void and down- and upward motion in different media
2. Phys. VII 5 §13–18 On the proportions of velocities, volumes, and surfaces
3. Foundations of physics revised §19–22 On the void (XIX ≈ Phys. IV 8), place (XX ≈ Phys. IV 4), the infinite (XXI ≈ Phys. III 5, De Caelo I,9 etc.,), and time (XXII) Only §19
4. Violent and natural motion §23–26 Rejection of the Aristotelian theory of natural places
5. The sphere (geometrical and cosmological) §27–34 On the sphere (§29), on starry light (§30), on infinite motion (§31), on the Sun, its warmth and seasonal changes (§30–31 and §34), celestial music, and harmony (§32–33) Only §28 and §29
§35–39 On the composition of circular and rectilinear motion and Copernicus’s hypotheses (§35), plurality of worlds (§36), cosmic propagation of light (§37), geometrical aspects relative to elements (§38), and relativity of the point of observation (§39) ✓ (only §38 missing)

Tab. 7.1: An overview of the Physical Disputations and of their English translation in Drake and Drabkin 1969.

Tab. 7.1: An overview of the Physical Disputations and of their English translation in Drake and Drabkin 1969.

7.2 An Archimedean Theory of Motion

The Renaissance rediscovery of Archimedes’s work can be seen as a crucial contribution to the theoretical advance of modern physics.2 The wide dissemination of this ancient work produced a renewed interest in mathematical methods for the investigation of nature. In the Questiti et inventioni diverse of 1554, Tartaglia’s Archimedean perspective implied a critical approach to Aristotle’s mechanics. By contrast, Del Monte had a rather syncretistic approach merging Archimedean and Aristotelian elements. He even argued for the possibility of deriving terrestrial motion from Aristotelian premises (probably referring to geological motions rather than to an astronomical phenomenon).3 Benedetti’s feelings toward Aristotelian philosophy are rather hostile; nonetheless, it is clear that his anti-Aristotelian theory of motion is embedded in the Renaissance discourse on natural philosophy, mechanics, and motion among mathematically-trained scholars.4

7.2.1 Aristotle’s Physics IV 8

Benedetti’s considerations on motion are presented as a criticism of Aristotle’s Physics IV 8. In that section Aristotle argued against the existence of the void and infinity of space and presented some reflections on the motion of bodies through different media. According to Aristotle, the void and infinity would undermine any reasonable theory of natural motion (indeed, his own theory of the natural and violent motions). His polemic is directed against “those,” probably Democritus and his followers, who held the void to be the condition of motion. Aristotle claims that in an infinite and void space there would be no absolute directions; an up- or downward motion would be conceptually impossible. By contrast, he keeps to the “observation” that the elements display natural tendencies upward or downward (water and earth downward, air and fire upward), which, according to him, falsifies the thesis of an infinite and void space. Additionally, this assumption would lead to “absurd” consequences:

But in vacancy […] nothing could go on moving unless it were carried. Nor (if it did move) could a reason be assigned why the projectile should ever stop—for why here more than there? It must therefore either not move at all, or continue its movement without limit, unless some stronger force impedes it.5

As far as motion is concerned, Aristotle remarks that the difference of speeds between two bodies depends either on their different weight or lightness or on the different density of the media through which they travel. He adds that the ratio of the speeds is reciprocally proportional to that of the densities, whereas it is directly proportional to that of the times. For the sake of simplicity, we could represent these relations symbolically, in a modern way. Heath, in his study on Mathematics in Aristotle, put it as follows:6

Furthermore:

On this basis, Aristotle concludes that motion in the void would be impossible, since “a body would move through the void with a speed beyond any ratio.”

According to Aristotle, differences depending on the weights and on the dimensions of the bodies would disappear in vacuo with “very unpleasant” consequences:

What reason can be assigned for this greater velocity [of a heavier falling body]? If the passage is through a medium, there must be such a difference [in the velocity of fall between heavier and lighter bodies]; for when there is anything there to cleave, the body superior in force of its thrust will necessarily cleave the medium faster, since either its more suitable shape or the natural thrust it exercises, whether following its natural movement or being thrown, makes it cleave the better. Where there is nothing to cleave, therefore, all bodies will move at the same velocity; which is impossible.7

Aristotle assumes that the speed of falling bodies is proportional to their weight (or dimension). For instance, one reads in De caelo:

His must surely be a careless mind who does not wonder how it is that a small particle of the earth, if raised to a height and then set free, should refuse to remain where it was but begin to travel, and travel the quicker the bigger it is, whereas if one held the whole Earth in the air and let it go, it would not move. But in fact, for all its weight, it is at rest.8

This argument was repeated by Ptolemy in Almagest I 7: “If the Earth had a single motion in common with other heavy objects, it is obvious that it would be carried down faster than all of them because of its much greater size.”9

In summary, Physics IV 8 provides Benedetti with a series of entangled problems involving the void, infinity, and motion. He begins his reform of physics by dealing with the last issue and then moving to a treatment of the other ones. In relation to motion through a medium, he enlists some commonly accepted assumptions (primo verissima et obiecta intellectus per se cognita) in chapter 2:

Therefore, whenever two bodies are subjected to or receive one and the same resistance to [the motion of] their surfaces, [the speed of] their motions will turn out to be to each other in precisely the same proportion as their motive forces. And, conversely, whenever two bodies have one and the same heaviness or lightness, but are subject to different resistances, [the speed of] their motions will have the same ratio to each other as the inverse ratio of the resistances.10

The cases that have to be considered are basically two: first, different bodies in the same medium, and second, equal bodies in different media. A decisive difference between two bodies is their gravitas (gravity, weight) or levitas (lightness). For Benedetti, gravitas and levitas act as moving forces. He calls them virtutes moventes or facultates moventes. For the sake of brevity, we will refer to them as virtus/virtutes.

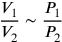
If we use V like velocitas for speed, P like pondus for virtus, and R like resistentia for resistance, we can formalize the previously mentioned general assumptions in the following way:11

I. Case in which R is constant:

II. Case in which P is constant

7.2.2 Speed in Different Media

Benedetti regards the Aristotelian theory of motion as inadequate and prefers to rely on Archimedes. He conceives of motion as analogous to the behavior of bodies in water. Following the Floating bodies, he holds that weight and lightness are not absolute but relative properties because they depend on the medium: “quia in medio se densiore si poneretur, non grave esset, sed leve, quemadmodum Archimedes ostendit” (in fact, if it is put in a denser medium it is not heavy but light, as Archimedes demonstrates).12 Thus, the direction of a vertical motion and, as we will see, the speed depend on the matter of a body as well as on the fluid (air, water, or whatever) in which it is merged.

In the second disputatio, Benedetti declares that the virtus (weight or lightness)13 of a body varies depending on the densitas (density) of the medium. Here he has in mind the three different cases considered by Archimedes in Book 1 of the Floating bodies: a body the weight of which is equal to that of the fluid, lighter, or heavier. Archimedes’s seventh proposition, concerning the last case, might illustrate Benedetti’s mental model for motion in a medium:

Solids heavier than the fluid, when thrown into the fluid, will be driven down as far as they can sink, and they will be lighter in the fluid by the weight of a portion of the fluid having the same volume as the solid.14

The actual virtus (either weight or lightness) of a body results by subtracting from the total virtue (virtus totalis) a quantity which Benedetti calls resistentia extrinseca (resistance, for instance in disp. 9) and depends on the densitas (density, for instance in disp. 3), which we could regard as an expression indicating the specific weight:15

virtus in medio = virtus totalisresistentia

Accordingly, he holds the position against Aristotle that the ratio of the speeds in different media is not inversely proportional to the densities of the media but directly proportional to the virtutes in different media.

Given this equation, Benedetti shows (chapters 3–4) that the thesis of Physics IV 8, namely that the ratio of the speeds is reciprocally proportional to that of the densities of the media, is only true in a special case, which can be constructed ad hoc: if the ratio of an object’s weight (or the corresponding speed) in one medium (for instance air) to its weight in another medium (for instance water) is equal to the ratio of the first medium (air) to the second (water). However, it is incorrect to claim that the ratio of the speeds of all bodies moving through different media remains the same. In chapter 6, Benedetti demonstrates moreover that the ratios of the weights (or speeds) of a body through different media are not maintained as constant in different media (Quod proportione ponderum eiusdem corporis in diversis mediis proportiones eorum mediorum densitatum non servant. Unde necessario inaequales proportiones velocitatum producuntur).16

We should now add some considerations on Benedetti’s argumentative strategy. He begins chapter 2 with a reference to principles generally taken for granted: primo verissima et obiecta intellectus per se cognita. The adverb “primo” can have two meanings in this context: it could indicate either that the author is proposing the “first” principles of the motion theory or, quite on the contrary, that he is presenting theses that are universally true “only at a first glance.” These “very true assumptions,” these primo verissima, are in fact the Aristotelian statements concerning the proportion of the ratios of velocities and weights as well as the proportion of the ratios of velocities and resistances. In the second part of chapter 2, Benedetti brings forward his own conception of the proportion between the ratio of velocities and that of weights in a medium. He begins the paragraph on his theory with these words: “Aliud quoque supponendum est.” This incipit can be interpreted in two different and rather opposite ways: as “Another proposition must also be presupposed” (which is Drake and Drabkin’s translation) or as “We must presuppose a different proposition.” As a matter of fact, the thesis that follows these words, that on the subtraction of the resistances from the total virtutes, is meant as a general truth. Benedetti himself intends to show that the Aristotelian laws are not true universally but only for special cases. Benedetti presents his theory of motion in opposition to that of Aristotle, so we tend to interpret chapter 2 as an opposition between two contrasting perspectives. Yet a certain ambiguity in his words cannot be denied. Perhaps it is a rhetorical strategy consciously employed by Benedetti: he first presents to the reader some propositions with which natural philosophers should be familiar, and then leads his reader to reject these common statements as not universally true rather than absolutely false.

7.2.3 Motion in pleno and in vacuo

After these considerations on motion in different media, Benedetti deals with the motion of bodies with different dimensions (but of the same material) through a medium as well as through the void. Chapter 7 considers the case in which two bodies A and O, made of the same matter and having the same figure, traverse the same medium. According to Aristotle the ratio of their speeds should be directly proportional to that of their weights. Benedetti demonstrates that this is false, since one could imagine a third body U, made of a different material, with the same virtus (here: gravitas) as O and the same dimensions (magnitudo et figura) as A. If V is the speed, M the magnitudo corresponding to a certain weight (or more in general, a virtus), then:

(according to Aristotle)17

(case of two bodies with equal dimensions and different weights).

Since by assumption MO = Mu, it follows that Vu = VO, but this is not consistent with the assertion that two bodies of equal weights and different dimensions will move with different speeds in a medium because a bigger body needs more “force” to penetrate the medium than a smaller one:

The body which, when compared to the other, is of equal weight or lightness, but is subject to smaller resistance, moves [in natural motion] more swiftly than the other in the same proportion as its surface is subject to a smaller resistance than that of the other body, by reason of its being able more readily to divide the continuity of the air or water.18

Therefore, the ratio of the velocities of two bodies having equal material composition and figure but different dimensions is untenable, pace Aristotle.

Chapter 9 introduces the issue of motion through the void, asserting, against Aristotle, that the ratio of two bodies in pleno and in vacuo cannot be the same:

In a plenum the ratio of the external resistances in the case of these bodies is subtracted from the ratio of the weights, so that the ratio of the speeds remains. And this last ratio would be annuled if the ratio of these resistances were equal to the ratio of the weights.19

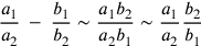
The argumentation is not immediately intelligible to the modern reader. Contrary to appearance, in fact, this passage does not describe the following subtraction: \frac{P_1}{P_2} - \frac{R_1}{R_2} (V is the speed, P the weight, and R the resistance).

According to the theory of proportions, the addition and subtraction of a ratio to or from another ratio can be conveniently represented in a modern fashion as follows:20

I. Meaning of ratios addition:

II. Ratios subtraction:

Given this, the relation indicated by Benedetti in the above-mentioned passage can be rendered through the following symbolic expression:

This relation expresses in a concise form the Aristotelian perspective concerning the relation of velocities, weights, and resistances, as already taken up by Benedetti at the beginning of the disputatio number two. Benedetti notices that the ratio of the velocities is annuled (nulla esset) if the ratio of the virtutes is equal to that of the resistances ( \frac{P1}{P2} \sim \frac{R1}{R2}). In fact, in this case (and only in this case) the speeds of bodies with different weights would be the same. As a consequence, there would be “no proportion” between different quantities but rather an equality of speeds. Benedetti indicates that this special case of motion in pleno, in which bodies with different weights have equal speeds, is the rule for motion in vacuo.

Chapter 10 expands on motion in vacuo. It presents the famous thesis that bodies of the same material move with the same speed in vacuo, although they might have different dimensions. Benedetti remarks that a body O can be divided into halves A and E, each of the same weight (or virtus). If an ideally weightless bar connects them, the weight at the center of the connection should be the sum of the partial weights and thus equal O. Therefore, bodies composed of the same material will fall with the same speed, independently of their weight. In chapter 11, one reads that motion in pleno is different as a consequence of the friction of the medium, except for the special case in which the parts travel through media whose resistances have “the inverse proportion of the weighs” (si duo corpora… suas resistentias ad invicem proportionatas haberent, ut sunt eorum pondera).21

7.2.4 A Note on the Historical Relevance of Benedetti’s Reflections on Motion

Our analysis of the first part of the Physical Disputations should be sufficient to understand Benedetti’s approach to motion and the scope of his investigation. Subdivision two tackles Aristotle’s Physics VII 5 and deals with the proportions of velocities, volumes, and surfaces.22 We are not going to analyze in further detail Benedetti’s views on motion. Instead, we deem it important to consider the “philosophical” part of the Physical Disputations (which we have indicated as section 3), as it introduces novel prospects on the foundations of physics. It extends from chapter 19 to chapter 22 and is an attempt to revise basic concepts of physics from an anti-Aristotelian perspective.

Before we tackle these foundational aspects, we would like to recount the influence that Benedetti’s theory of motion exerted on the young Galileo. We have already hinted at Benedetti’s triangulation with Galileo via Del Monte. At a theoretical level, one of the strongest pieces of evidence of this influence is the affinity between Galileo’s early speculations on motion and the theses that Benedetti propounded in the Diversae speculationes. This link is evident and well known, beginning with the hydrostatic analogy to explain the motion through a medium, the relativity of heavy and light, and the subtraction of resistance from weight, which allows motion through a vacuum to be accepted and makes it physically plausible.23 For instance, several chapters of Galileo’s first manuscript among those gathered by Favaro under the title of De motu are very close to Benedetti’s treatment; above all Galileo’s chapter 8, “in which it is shown that different bodies moving in the same medium maintain a ratio [of their speeds] different from that attributed to them by Aristotle”; chapter 10: “in which, in opposition to Aristotle, it is proved that, if there were a void, motion in it would not take place instantaneously, but in time”; chapter 12: “in which, in opposition to Aristotle, it is concluded that the absolutely light and the absolutely heavy should not be posited; and that even if they existed, they would not be earth and fire, as he believed”; and chapter 15: “in which, in opposition to Aristotle, the conclusion is reached that rectilinear and circular motions have a ratio to each other.” This connection between the work of the young Galileo and Benedetti’s insights on motion is significant, the more so since Galileo’s patron Del Monte was skeptical about the possibility of quantifying motion.24 Actually, in his manuscripts, Del Monte took some annotations on falling bodies in different media. This might have been an issue of discussion between him and Galileo.25

Moreoever, it should be remarked that the Copernican cosmological element is absent from Galileo’s early manuscript De motu, although this would become a crucial aspect of his later investigations. Also, the alliance of mechanics and Copernican astronomy, which emerged only later in Galileo, bears witness to Benedetti’s influence on his work.26

7.3 On the Void: Atomistic Prospects

Benedetti’s considerations on motion are followed by a treatment of the void which, from the perspective of Aristotle’s physics, is directly connected with the former issue. His theory of motion through media and through the void is the basis upon which he casts Aristotle’s rejection of the void into doubt. Chapter 19 of the Physical Disputations, Quam sit inanis ab Aristotle suscepta demonstratio quod vacuum non detur, is a transition from the Archimedean theory of motion (chapters 1–18) to the reconceptualization of natural philosophy in general. The discussion on the void is directed against Aristotle’s Physics IV 8, in which the theory of motion serves to reject the physical void and infinity. Benedetti claims that the void is conceptually possible as a consequence of his previous demonstration that the Aristotelian assumptions on the relation between speed and density of the medium are wrong or, at least, not universally valid. “Ex iis, quae superius demonstravimus facile cognosci potest irritam esse eam rationem, quam Aristoteles 8 cap. lib. 4 Physicorum ad destruendum vacuum, confinxit” (From the demonstrations above it is easy to see that the argument that Aristotle devised in Physics VIII 4 is vain).27 According to Benedetti’s Archimedean dynamics, motion through a void is not absurd at all. He explains that such a motion is simply quicker than one taking place through any medium, because no resistance has to be subtracted from the body’s virtus.

Hence, Benedetti reintroduces the concept of the void into physics, which was excluded by Aristotle as a criticism of Democritean atomism.28 Benedetti’s move is in line with the rehabilitation of atomistic philosophy during the Renaissance and the early modern period. The void and atoms are the two ingredients of the same matter theory inspired by the rediscovery of Lucretius and a reassessment of Epicureanism.

Among Benedetti’s contemporaries the most committed natural philosopher supporting atomism was Bruno. Although they probably developed their theories independently of each other, they have many points of contact. In his Italian philosophical dialogues (published in London in the years 1584–1585), Bruno widely drew on ancient atomistic doctrines. He called Democritus and Epicurus those “who contemplated nature with open eyes” (con occhi più aperti han contemplata la natura).29 He derived from them (often relying on Lucretius) a vision of the universe as infinite, the idea of a countless number of worlds (similar to the solar system), as well as the principle of cosmological homogeneity and the atomic theory of matter and of minima moving through a void. In De l’infinito universo e mondi, he celebrated Epicurus’s theory of matter, summarizing it as follows:

Epicure similarly nameth the whole and the universe a mixture of bodies and of the void; and in this universe and in the capacity thereof to contain the void and the empty, and furthermore in the multitude of the bodies contained therein he maintaineth that the nature of the world, which is infinite, doth exist.30

However, the concept of the void assumes in Bruno a very special meaning since, in his philosophical terminology, the terms ‘space,’ ‘void,’ and ‘aether’ are used as synonyms. The ethereal void is the medium that makes the motion of bodies possible.31 In the second dialogue of De l’infinito, he recapitulates the following three meanings of vacuo:

First, the void refers to all which is not bodily and thus does not have the property of resisting penetration. In this sense, there is a “boundless ethereal region” (eterea regione inmensa), in which the worlds are plunged. The countless worlds populating the universe are themselves composed of matter and the void.32

Second, the void has the meaning of infinite space (spacio infinito). In it everything is included. It is the container that cannot be included in anything else.

Third, space can be assumed to be nothingness, in accordance with Aristotle. Bruno calls this a metaphysical meaning, or rather lack of meaning. According to him, this extra-physical meaning was a sophism that served Aristotle to refute the possibility of the void in nature. For Bruno, only the first and the second meaning of the void make sense. They could and should be embraced in natural philosophy. By contrast, the metaphysical void has to be rejected as meaningless.

Bruno’s reflections on the physical void are part of his program to revive an atomistic conception of nature. He combined it with cosmological infinity and the post-Copernican idea that a plurality of worlds exists, each one of them a solar system centered on a star similar to ours. This vision, which shows similarities to Benedetti’s, paved the way for seventeenth-century cosmologies, in particular for the Cartesian multi-centric universe.

Other Renaissance scholars supported combinations of atomism and heliocentric astronomy as well. A case in point is the circle of scientists gathered around Henry Percy of Northumberland in London. Just like Benedetti and Bruno, they brought together heliocentrism, atomism, an empirical and mathematical approach to nature, Renaissance naturalism, and anti-Aristotelianism.33 Thomas Harriot, for example, was an atomist and a supporter of the infinity of the universe.34 Nicolas Hill, another member of the “Northumberland circle,” authored an apology of Epicureanism entitled Philosophia Epicurea (1601), which was directly inspired by Bruno. It included Copernican arguments in favor of terrestrial motion and many others in favor of the earth’s magnetism, in accordance with Gilbert.35 Following ancient and modern atomists, Hill affirmed the boundlessness of the universe and the plurality of worlds.36

Atomism was to be embraced by celebrated exponents of sixteenth-century science and philosophy such as Galileo and Pierre Gassendi. At the same time, corpuscular alternatives were spread by Descartes and his followers.37 Atomism and, more generally, corpuscular theories of matter encountered much censorship, especially owing to theological difficulties, since they appeared to be irreconcilable with Scholastic accounts of the Eucharist.38 Nonetheless, many modern scholars were attracted, just as Benedetti was, to the prospect of connecting the advances of mechanics with a physics and a theory of motion rooted in corpuscularism alongside a post-Copernican cosmological outlook. As Galluzzi has recently pointed out, this was a guiding idea for Galileo already in his Iuvenilia.39 Theories of motion, atomism, and Copernican astronomy are three interconnected issues in his as well as Benedetti’s work. In De motu, Galileo was committed to the homogeneity of matter and reflected on it in connection with motion, in particular with the Benedettian thesis that “si vacuum esset, motuum in instant non contingere, sed in tempore” (If the void exists, motion does not occur instantaneously but rather in time).40 In the tenth section of this manuscript, Galileo followed in Benedetti’s footsteps and came to the same conclusion: “Hence it follows, not that motion in a void is instantaneous, but that it takes place in less time than the time of the motion in any plenum.”41

Benedetti shared many ideas with contemporary and later scholars in his criticism of Aristotle’s natural philosophy as well as in his effort to construct a new physics. Whereas he developed his conceptions on matter and the cosmos independently of Bruno, and probably did not directly influence the English circle of Harriot and Hill, nonetheless he must have influenced the views of Italian scholars such as Galileo who were familiar with the Diversae speculationes. Benedetti showed them that a revision of dynamics could not be fulfilled independently of a broader program of philosophical reform.42

7.4 On Place: Space as intervallum corporeum

Chapter 20 of Benedetti’s Physical Disputations deals with the concept of place. Aristotle, in Physics IV 4, defines it as the surface in which a body is included and denies that it could be conceived as an intervallum. By contrast, Benedetti defines it precisely as intervallum corporeum, an expression which could be roughly translated as an inter-bodily gap. Aristotle says that locum (the place) and locatum (the placed) must be coextensive but, as Benedetti notices, a spherical surface contains more “extension” (intervallum) than any other figures with an equal surface. As a consequence, one can imagine two places (in the sense given to the term by Aristotle) occupied by bodies of different dimensions or, the other way round, two bodies of different dimensions which suit the same surface. By contrast, an intervallum of space contains only bodies of equal volume, thus respecting the bijective relation between the volume of the place and that of the placed body: “But equal bodily extensions [intervalla] delimitated by any figure will always contain equal bodies.”43 The definition of place as intervallum has the advantage that it allows us to assign a place to every body, “in the world or outside it, pace Aristotle.”44 This remark anticipates the cosmological treatment of infinite space, or of the possibility of space beyond our worldly system (mundus). In chapter 20, on place, Benedetti remarks that Aristotle is wrong when he rejects the concept of place as intervallum because it could lead to infinity. Benedetti objects that this is not inconvenient at all, since one could conceive of infinita loca. To grasp this infinity is no more difficult than to understand the never-ending process which Aristotle calls “potential infinity” (infinitum in potentia) and concerns the division of a body ad infinitum:

That infinite places must exist, if place is [conceived of as] intervallum, is not inconvenient. In fact, just as any body can be [divided into] infinite bodies (which he [Aristotle] would call “in potentia”), so can any intervallum be [divided into] infinite intervalla as well.45

Benedetti is always brief in his treatment of philosophical issues and leaves much implicit. Therefore, the reader is challenged to reconstruct the complete vision implied in his short statements and critical points. Reference to Renaissance philosophical sources discussing the same theses from an Aristotelian viewpoint can help us to better understand Benedetti’s conception. In this case, Alessandro Piccolomini’s refutation of the conception of space as a receptacle of bodies can shed light on the opposite viewpoint defended by Benedetti. The following quotation is taken from the first part of Piccolomini’s Della filosofia naturale (On natural philosophy), a very successful introduction to natural philosophy in Italian, which Benedetti might have known:

Other philosophers (and not unimportant but very reputed ones) asserted that there is void space among natural beings and that it is not only distinguished in essence [per sua natura] from the bodies it accommodates, but also it is so separated from them that it can remain completely naked and really deprived of them. Furthermore, many supposed that such a space (which is completely void, without any bodies) is mixed and situated between the beings of this world and their parts. Additionally, they believed that it infinitely extends outside the heavens. Thus, these philosophers considered the void to be that being which not only can be deprived of all bodies and substances […] but also is apt and capable of receiving the bodies, giving them a place (something which does not occur to lines, points, and other accidents). One of the main reasons for holding such doctrines was, as they said, that, if there is no space in nature (or a void place without bodies), the motion from place to place would be impossible, although the motion of alteration would be possible. In fact, all beings, in order to move to some other place, need some in-between space through which they can move. If this space were not void, it would be necessary that, as it is filled with other bodies, different bodies would penetrate each other while crossing that full space. And this is impossible.46

Thus Piccolomini presented the views of the supporters of a natural void in order to reject them. Yet his discussion is helpful as it indirectly presents us with the views of such thinkers as Benedetti who defended void and infinity. Benedetti was in fact favorable to the notions of the void and infinity. For him, space is prior to and independent of bodies. It should be remarked that, in Benedetti’s perspective, infinite space does not imply cosmological infinity or the boundlessness of the material universe, precisely because space is independent of matter. In this respect, his conception is different from the one that Bruno defended in those years. Rather, it is closer to that of his correspondent Patrizi. As De Risi has pointed out, Patrizi’s conception of space is marked by its ontological autonomy from bodies. It is in fact an “incorporeal and immaterial extension, tridimensional and infinite, which receives and precedes all created bodies.”47 Patrizi saw space as a sort of Plotinian hypostasis (extensio hypostatica), that is, a pre-corporeal quantity quantifying reality. He saw this idea as the lever to be employed in order to radically reform Scholastic metaphysics, a project that he developed in a series of publications, De spacio physico et mathematico (On physical and mathematical space, 1587), Della nuova geometria (On the new geometry, 1587), and eventually in the Nova de universis philosophia (1591).48 It also served him to set the foundations of an epistemology of mathematics according to which the ancient science dealing with figures had to be substituted for a new science of space itself. This is the concept of his New Geometry. Patrizi sent a copy of this book to Benedetti, probably before the publication, to gain the favor of Carlo Emanuele I, to whom the book was dedicated.

To sum up, Benedetti defines the locus, against Aristotle, as intervallum corporeum, or bodily extension. He regards it as an invariable empty extension capable of being occupied by material bodies, an idea that becomes clearer from the related discussion on time. He basically rejects the Aristotelian definition of place as the superficies corporis ambientis (surface of the containing body), remarking that the place is a measure, actually an intervallum, and not a surface. Moreover, he explains that only his understanding of locus as a kind of objective space guarantees that two bodies of equal material constitution necessarily occupy the same quantity of “place” as intervallum or empty extension, independently of their form. By contrast, the definition given by Aristotle is inconsistent with the assumption of a bijective relation between locus and locatus. In fact, as geometry shows, if one accepts Aristotle’s definition “a great absurdity [maximum inconveniens] would follow, namely that equal places can contain unequal bodies or equal bodies can occupy unequal places.”49 Additionally, Benedetti remarks that his concept of place admits an infinite universe, since it is capable of containing infinita corpora (infinite bodies).

7.5 In Defense of Infinity

Chapter 21 is devoted to infinity: Utrum bene Aristoteles senserit de infinito (Whether Aristotle judged correctly about infinity). Needless to say, Benedetti holds that Aristotle’s arguments on this issue are idle. The Greek philosopher rejects the possibility of an infinite body (infinitum corpus), that is to say, the infinity of the universe because—as the argument goes—there is no locus infinitus which could include it. Benedetti protests that this is a petitio principi since this rejection is based on a questionable definition of locus: “cum Aristoteles debuerit beneficio loci destruere infinitum, ordine perverso de infinito prius” (Since Aristotle had to destroy infinity with the benefit of [a correct understanding of] place, he wrongly started with [a discussion of] infinity).50 By contrast, Benedetti’s redefinition of place as intervallum entails no conceptual hindrances to the acceptance of the infinity of the universe. As one reads: “hoc modo nullum inconveniens sequeretur, quod extra caelum reperiri possit corpus aliquod infinitum” (In this manner it is not inconvenient to assume that one can find an infinite body outside the heavens).51

Additionally, Aristotle writes (Physics VIII 8 and De caelo I 9) that a continuum can include infinite parts only in potentia (potentially) and not in acto (in act). Benedetti does not agree with him. He argues that, if the continuum is in acto, its infinite parts should be in acto as well, because it is foolish (stultum) to believe that something actually existing could be composed of parts which exist only potentially (quae potentia existunt).

The weakest argument brought forward by Aristotle is, according to his critic, that the infinite cannot be considered to be a quantity (Physics III 5), because only a finite quantity is thinkable, for instance the dimensions of a square or a cube. Benedetti objects that the definition of number (which he does not provide, however) does not include finitude (necessitas terminorum). Numbers are not necessarily terminated (determinati) and one can conceive an infinite multitude exactly like a finite one:

Aristotle’s arguments in the same part of Physics III 5 are even worse. He denies that infinity can be regarded as a quantity by saying that only one defined quantity is intelligible, such as a cubit, a three-cubit, etc. Thereby, he does not consider that in the same manner the quantity of infinite cubits is intelligible as well. Moreover, the definition of quantity does not imply limitation by necessity. For instance, the definition of number does not imply the necessity of any determined number, since an infinite multitude is not less intelligible than a finite.52

The last false Aristotelian assumption on infinity is the equation of infinitum and vacuum in Physics IV 8. Benedetti’s commentary is harsh: “Later, in Physics IV 8, he says that there is no difference between infinity and the void. Indeed, he could not assert and imagine anything more absurd than this.”53

Like Bruno, the infinitist par excellence, in De l’infinito universo e mondi (1584), Benedetti remarks that Aristotle’s arguments are not compelling. Aristotle denied the possibility of an unbounded space on the basis of a finite cosmology (i.e., the theory of the spherical and geocentric heavens along with the theory of the natural places), which excludes cosmological infinity by definition. Yet his assumptions are not self-evident.

In summary, in chapter 21 of the Physical Disputations, Benedetti defends the mathematical and physical possibility of the infinite. The question of the title “Whether Aristotle Judged Correctly about Infinity” is rhetorical. It calls for a negative answer.

7.6 On Time: Toward an Absolute Frame for Physics

Benedetti’s definition of tempus (time) is closely connected with that of locus (place). He deals with it in Physical Disputations, chapter 22, Exagitatur ab Aristotele adducta temporis definitio (Rejection of Aristotle’s Definition of Time). Benedetti questions the definition of time as motus mensura numerusque (the measure and number of motion) and offers an alternative conceptualization. But before we discuss his opinion, we will recount standard conceptions of time from antiquity.

It should be noted as a preliminary remark that the understanding and definition of time was regarded as a natural as well as a psychological issue. This should not be surprising, since the doctrine of the soul, or psychologia, was an integral part of natural philosophy, or physica, in standard university curricula. A standard reference on time was the Timaeus, where Plato called time, rather poetically, the “moving image of eternity” (εἰκὼ κινητός αἰῶνος).54 According to his myth, the divine Demiurge created time together with the heavens (οὐρανὸς), making them inseparable. Plato’s pupil Aristotle, in Book 4 of the Physics, then proposed the definition of time as the “dimension of movement in its before-and-afterness.”55 He also noticed that χρόνος (time) had generally been connected with the motion of the celestial sphere and was referred first and foremost to the heavens because all measurements of motion and time depend on celestial regularities:

Neither qualitative modification nor growth nor genesis has the kind of uniformity that rotation has; and so time is regarded as the rotation of the sphere, inasmuch as all other orders of motion are measured by it, and time itself is standardized by reference to it.56

For both philosophers, Plato and Aristotle, the tie between time and cosmic order was unquestionable. This interconnection was later refuted by a third authoritative source. At the downfall of the ancient world, Augustine, in Book 11 of the Confessiones, denied the commensurability of time and local motion: “The motion of a body is one thing, and that by which we measure how long it is, another thing.”57 He pointed out the transient character of the temporal flux and noticed that the three dimensions of time are a product of our mind (animus). In the mind, time is constituted as the memory (memoria) of the past, the intuition (attentio) of the present, and the expectation (expectatio) of the future.58 In other words, Augustine underscored the subjectivity of time, conceived of as a distensio animi, a “stretching” of the mind independent of heavenly cycles.

According to Benedetti’s criticism of Aristotle, the definition of time as “the measure and number of motion” is intrinsically wrong because measuring presupposes commensurability. But because time and motion are heterogeneous, they cannot be compared. A line is measured by a line, a surface by a surface, and a corpus—that is, a three-dimensional body—by a corpus. Similarly, motion is measured by motion and not by time: “Time cannot be the measure of motion, but only motion can measure motion, precisely a faster one [measures] a less fast one, and a shorter one [measures] a longer one, whereas a number is measured by a number, and time by time inasmuch as it is long or short, and not inasmuch as it is fast or slow.”59 Hence, time can only be measured extrinsically (per accidens) through motion, as is the case with common expressions like “two hours, or two days, or two years,” referring to astronomical displacements. These are only metaphors that refer to heavenly motions as “placed” in the interval of time that corresponds to their motion. In the following passage, presenting these reflections, time is called the “place of motion” (locus motus):

It could seem to somebody that, to indicate [significare] a certain quantity of motion, one has to assume as much time as if one says, for instance, that a certain operation has been carried out in the space of two hours, or two days, or two years. Still, it should be remarked that this is not literally [simpliciter] true, since the imagination conceives the interval of two hours, days, or years as the motion of celestial bodies without which neither years, not days, not hours would exist, even though time is placed, so to speak, in time, just as a body in a place. Thus, motion is measured by motion and time by time, and not the one by the other.60

Benedetti claims that time, unlike motion, is eternal: “Necessarily, from a philosophical point of view, time is eternal and motion not.”61 Whereas a motion can be extinguished and a body can be at rest after a displacement, time goes on inexorably. It is always present to our senses and always escapes them because it is the never-ending passing of a single instant. Benedetti makes clear that he intends the instans to mean “one in species” (unum in specie), i.e., the essence underlying the vanishing flux of time that cannot be experienced in itself as a given and measurable succession (non in numero).62 This Augustinian paradox helps Benedetti to stress the heterogeneity of time and motion. Still, he does not renounce an objective meaning, which is essential to his dynamics. Motion and time, he writes, are continua successiva, continuous and successive quantities. Their relation can be conveniently described as that between a place and the bodies that it contains. His explanation sheds light on the concept of locus as well as on that of tempus:

Just as a dense body occupies a lesser interval of place than a less dense [rarus] body, similarly a quick motion is accomplished [peragetur] in a shorter space of time than a slower motion.63

From this passage it is clear that Benedetti’s idea of place as intervallum corporeum goes in the direction of an empty homogeneous space which can be occupied by bodies of greater or lesser density. Time has the same absolute character as place. It can contain more or less rapid motions without being affected by them. Space and time or, more precisely, intervallum corporeum and tempus are objective and independent coordinates of natural phenomena.

In order to understand Benedetti’s considerations on time, it is useful to delve into the views of his immediate forerunners, in particular Cardano and Scaliger.

7.6.1 Cardano’s Subtleties on Time

In the letter to the reader of the Diversae speculationes, Benedetti indicated Cardano as one of his principal sources.64 However, concerning the concept of time their opinions are not in agreement. Cardano tackles the issue tempus quid sit (What is time?) in Book 18 of De subtilitate. Unlike Benedetti, he does not explicitly question Aristotle, but rather quotes his definition as a common truth: “in fact, motion is the measure of time” (motus enim tempus est mensura).65 Still, he reworks the Aristotelian concept within a rather Augustinian perspective, which leads to original results.

He introduces the problem of time in connection with his treatment of the dream (somnium), beginning with the question: “Why does time appear much longer while dreaming than in reality?”66 He reports that once he dreamed that he visited an unknown city far away from his home in Milan. He traveled through mountains, valleys, and fields. In order to cover that distance six days of travel would be barely sufficient. Thus, when he woke up, he thought that he had slept for a long time but in actual fact his nap had taken less than one hour. The reason for this expansion of time, Cardano explains, is due to the fact that dreamed activities (operationes) are accomplished independently of any bodily effort (absque corporis labore) and therefore very rapidly. A correct judgment about time depends on bodily movement. This is why the perception of time is not altered in our mind when we imagine long-lasting processes while awake. “During sleep, time is contracted in the opposite manner than if we are awake: in fact, motion is the measure of time.”67 Surprisingly, Cardano’s Aristotelian conclusion, “motion is the measure of time,” does not refer to heavenly motions, but to corporeal activity. In other words, he extrapolates and isolates the peripatetic definition from its original context. In fact, from an objective, physical, and cosmological meaning, time acquires a rather subjective meaning, connected with physiology and perception. Time, as Augustine would say, is an “expansion of the mind.”

It should be added that there is a passage of the Physics where Aristotle also hinted at the subjective dimension of time, even at how the soul grasps it. This passage might have been a source of inspiration for Cardano:

Time cannot be disconnected from change; for when we experience no changes of consciousness, or, if we do, and are not aware of them, no time seems to have passed, any more than it did to the men in the fable who ‘slept with the heroes’ in Sardinia, when they awoke; for under such circumstances we fit the former ‘now’ to the later, making them one and the same and eliminating the interval between them, because we did not perceive it. So, just as there would be no time if there were no distinction between this ‘now’ and that ‘now,’ there appears to be no time between two ‘nows’ when we fail to distinguish between them. Since, then, we are not aware of time when we do not distinguish any change (the mind appearing to abide in a single indivisible and undifferentiated state), whereas if we perceive and distinguish changes, then we say that time has elapsed, it is clear that time cannot be disconnected from motion and change.68

These considerations are not aimed at isolating a subjective meaning of time by eliminating any objective references. Still, it is plausible that Cardano took into account such passages in order to freely speculate on time, in Book 18 of De subtilitate, from a perspective that owes more to Augustine than to Aristotle.

This Augustinian influence is particularly evident from the following passage, in which Cardano tries to better define time:

But what is time? Although nothing of it is ever [given], nonetheless everything is in it and it accompanies [assistit] everything always. It itself generates and destroys everything; it is the source [auctor] of life and death. Its expectation is always very long, while its memory is always very short. Although it is always with us, we never grasp it. Even though there is such an abundance of it, nonetheless no restoration [reparatio] of it is ever conceded, thence the waste of no other thing is greater or worse.69

In this passage, Cardano brings together ideas derived from erudite lectures, as well as from commonsense, experience, and even trivial commonplaces. Additionally, he recounts the Augustinian paradoxes: time is everywhere and nowhere, it is made out of expectation and memory, and it is for us the most familiar and unknown mental presence. To quote from the Confessiones: “What is time then? If nobody asks me, I know: but if I were desirous to explain it to one that should ask me, plainly I know not.”70 Cardano adds to this paradox a popular sense of the caducity of life, according to which a discourse on time is a kind of memento mori. Time itself is said to be the cause of life and death.

Hence, for Cardano, the assumption that “time is the measure of motion” does not mean maintaining the cosmological dependency of time on astronomical cycles. Quite to the contrary, time transcends motions and changes. In fact, we do not perceive it in itself but rather that which happens in it. What we know about time is a product of the mind, precisely of its imaginative faculty:

Thus, we do not comprehend time but rather that which occurs, or occurred, and endures in it. But time itself per se is out of reach [ignotum] to the senses. In fact all that we know [about it] is constituted through imagination.71

Like Benedetti, Cardano denied the interdependency of cosmological space and time, although from a different standpoint. He was not concerned with reformulating the physical space and time framework of motion in mathematical terms. Instead, he concentrated on the psychological and physiological dimension of time as a construction of the imaginatio. Therefore, this treatment was connected with that of the mind and was introduced by considerations on sleeping and dreaming. This even led to considerations on altered states of mind such as ecstasies and hallucinations, as well as the divine and demoniac visions of the hermits—Cardano went so far as to report some hallucinations that he had when he was a child. His mental treatment of time, as well as this excursus on altered states of mind, were both harshly criticized by the Flemish humanist Julius Caesar Scaliger, as we shall now discuss.

7.6.2 Scaliger’s Aristotelian Restoration

Scaliger conceived of his Exotericae exercitationes as a critical confrontation with Cardano’s De subtilitate, although he formally presented them as a reverent discussion of some points that arose from the lecture on the “subtleties” of that doctissimus vir, as one reads in the dedicatory epistle, “who will never be praised enough” (nunquam satis laudatus). Among the most notable theses indicated in the Index acutiorum sententiarum at the end of the book, one is directly relevant to our discussion: the exercitatio number 352.2, which explains why “time is not the measure of motion.” That exercitatio deals with the passage of De subtilitate on time that we have discussed, but reverses Cardano’s viewpoint.

Scaliger tries to answer the question of “whether time is the measure of time,” remarking that most people just repeat this definition without properly understanding its meaning.72 The allusion is clear: Cardano repeats a commonplace without any thorough reflection on its meaning. In fact, even though time might be regarded as the measure of “our motion,” it is definitely not the measure of worldly motion, in particular not of the first motion of the heavens, i.e., the daily one.73 Scaliger therefore denounces Cardano’s subjective reading of the Aristotelian definition. According to him, the objective dimension of time cannot be dismissed. From a cosmological-ontological perspective it is in fact a dependent (affectus) of heavenly motion;74 to be precise, it descends from the “first motion,” or the daily rotation of the starry sphere. The first body (primum corpus), that is, the heaven of the fixed stars, is the measure of all bodies. Similarly, its motion, the primus motus, is the yardstick of all motions. In accordance Book 12 of the Metaphysica, where Aristotle advocates a spherical and geocentric cosmology of concentric spheres, Scaliger states that “time is either the same thing as motion or its affection.”75 In other words, he intends to restore an Aristotelian objective conception of time in accordance with a metaphysical perspective that attaches an ontological priority to motion over time.

Scaliger acknowledges that Aristotle ambiguously defined the interrelation between time and motion by accepting both possibilities: “time is the measure of motion and, in turn, motion is the measure of time.”76 In his attempt to dispel this paradoxical interdependency, Scaliger distinguishes between two fundamental dimensions of time: the objective and the subjective dimension or, as one reads, the understanding “according to nature” (a Natura) and that “according to us” (mensura nostra). In nature, motion is the measure of time as well as its source. By contrast, time is the measure of motion only for us, which is an aspect that Cardano allegedly overemphasizes. This is clearly documented by expressions like “the equinoxial circle accomplishes its motion in this much time.”77 In actual fact, things are the opposite of what our way of speaking suggests: time is derived from the translation from “here” (ubi) to “there” (ubi) in space (in loco). The ubi (where), to which people improperly refer in order to express a quantity of time, is a naive way of thinking that reduces time to certain spatial determinations. As to the definitions: time is a transient “now” (nunc), whereas place (locus) is a continuous “where” (ubi):

Since the quantity of time corresponds to that of a motion between a ‘here’ [ubi] and a ‘there’ [ubi], the ‘where’ [ubi] that we use for time is deduced [transumptum est], without inconvenience, from that ‘where’ [ubi] which, in fact, pertains to [a determination of] place [locus]. Actually, time is a transient now, whereas place is an enduring where [ubi].78

Scaliger’s criticism of Cardano is not limited to a vindication of the objective meaning of time, its interconnection with space (or more accurately, place), and the priority of cosmological motions over time, i.e., time as something derived from celestial motions. He additionally criticises Cardano’s hint that time is the cause of generation and corruption, dealing with the question of “Whether time generates and corrupts [things]” (An tempus generet et corrumpat). In Scaliger’s assessment—and according to the Aristotelian authority on which he relies—this is impossible. Time cannot generate or corrupt anything, since it is not a substance but a quantity, that is, a property of a substance. Therefore, it cannot produce any effects.79 Scaliger opposes his “very subtle” (subtilissime) opinion to Cardano’s superficiality: “Our life is the act of the soul. In it, time has neither jurisdiction nor power.”80 Scaliger adds that Cardano’s words “are suited to the vulgar” (vulgo proprior), not to philosophers. What’s more, his references to visions and alternative states of mind should be regarded as only insignificant phenomena which concern children and melancholici like Cardano himself.81

7.6.3 Benedetti and the Renaissance Concepts of Time

Our excursus on Renaissance concepts of time is far from exhaustive, but it helps us to grasp the scientific context out of which Benedetti’s own position emerged. It also permits us to point out some major problems in the conceptualization of time, in particular its subjective and objective dimensions. The interrelation between tempus and locus was at the center of the reflections, the debates, and even the polemics of scholars investigating nature from various angles. The debate on time and on its relation to motion has meanings that are, at the same time, physical (Benedetti), psychological-physiological (Cardano), and cosmological-metaphysical (Scaliger). Finally, for a more traditional cosmological perspective on time as the measure of celestial motions and of the motion of the first mobile as the standard measure for all other measurements of time, one can refer to Alessandro Piccolomini’s Della filosofia naturale, where one finds the following definition:

Hence, time, which is the measure of all movements, mainly has to measure a motion that is the most regular and enables the measurement of all other [motions] that do not have the same regularity in their components. As this motion is that of the first heaven, one has to conclude that time (which is like [a property] of a substance [in proprio soggetto],) is first of all measured by it through that motion of the first mobile. Through it all other motions are ruled. Hence, although time can be called the rule and measure of any motion, it will be reasonable not to pluralize it alongside the plurality of motions. Rather, it will remain one and the same for the whole world, just as the first motion, which is its proper and true subject [soggetto], is singular.82

In the generation before Benedetti, Cardano affirmed that time is independent of cosmological space on the basis of his assumption that time is a “stretching of the mind” connected with the perception of corporeal activity. Cardano formally accepted the traditional Aristotelian definition of time as the measure of motion, but only as the consciousness of physiological motion. Scaliger criticized this perspective and accused Cardano of misunderstanding Aristotle. In the Exercitationes he tried to restore a peripatetic metaphysical conception of time as a product of celestial motions. In a sense, his conception of time has a “conservative” character for his commitment to the Aristotelian tradition. However, the distinction of the subjective and objective dimensions of the issue permits us to highlight a problematic aspect of the Renaissance definition of time. According to Scaliger, time can be regarded as the measure of motion only from a subjective viewpoint, not from a natural one. According to nature, the relation between time and motion is the reverse: motion is the measure and time the measured thing.

For Benedetti, as a mathematician advancing a new Archimedean theory of motion and a post-Aristotelian physics, time is the locus motus, the place of motion, that is to say, an objective—we dare say, absolute—measure independent of its content and of spatial determinations. He shared with Cardano the independence of time from matter but not his subjectivism, while he maintained with Scaliger the objectivity of time without assuming the Aristotelian dependency of time on motion.

7.7 Natural and Violent Motions Revisited

After his revision of the physical concepts of the void, infinity, space, and time, Benedetti moves on to discard the Aristotelian theory of natural and violent motions in the section from chapter 23 to chapter 26. Chapter 23, “Motuum rectum esse continuum, vel dissentiente Aristotele” (Rectilinear motion is continuous although Aristotle is in disagreement), shows that continuity is not exclusive to circular motion, therefore Aristotle’s distinction between circular and rectilinear motion must be corrected. In Physics VIII 8 one reads that “the motion of a body moving on a finite straight line cannot be continuous.”83 By contrast, Benedetti demonstrates that the projection of a circular motion has the same continuity as the circular motion itself, although it is a forward and backward motion on a line. This is the case with planetary appearances produced by the displacement onto an epicycle as seen from the earth.84 In a way, this section is a rehabilitation of the epicyclic model against Averroist-Aristotelian criticisms concerning the physical tenability of a non-concentric model of heavenly circles. This contrast between mathematical and physical astronomy received much attention from sixteenth-century Aristotelian scholars who received their education at Padua. In the 1530s Giovan Battista Amico and Girolamo Fracastoro promoted a fleeting rebirth of homocentric astronomy through the publication of De Motibus corporum coelestium iuxta principia peripatetica, sine eccentricis et epicyclis (Venice, 1537 and Paris, 1540) and Homocentrica (Venice, 1538), respectively.85 More directly, Benedetti’s assertion that a continuous rectilinear motion is possible seems to be directed at the opposite statement in Piccolomini’s Aristotelian Della filosofia naturale (Book 2, Part 2, chapter 3, “Come esser non possa infinito corpo alcuno di quelli che per natura loro si muovano per retta linea” (There can be no infinite body among those that move straightforeward following their own nature)). Just as in the Diversae speculationes, this section is complemented with diagrams.86

Chapter 24 is a refutation of a series of Aristotelian assumptions on natural and violent motion. In the title of this chapter, Aristotle is called vir gravissimus, but this attribution sounds quite ironic, since the theses of this “very grave man” are here refuted. The first criticism concerns the idea that a projectile is transported by air once separated from its thrower. According to Benedetti, it is rather the contrary: air is a hindrance to motion because it resists the penetrations. Secondly, Aristotle writes in De caelo I 8 that a body accelerates the closer it is to its aim. Instead, one should say that a body moves (e.g., falls) quicker the further it is from its aim (e.g., the ground). In fact, the longer the distance it covers, the more it is pushed (maior fit semper impraessio) by its inner impetus, which is due to the spontaneous inclination toward its proper place (inclinatio ad locum suum eundi). Chapter 26 is a rejection of Aristotle’s statement that a body is not “heavy” in its proper place. In fact, air in air, or water in water, has no weight at all, except for when one artificially compresses an element (for instance inflating air in a bladder). The difference in density of the compressed element produces a difference in weight. Chapter 25 denies that vertical motion could legitimately be called natural. In fact, only perpetual circular motion is natural. An entire (i.e., spherical) body and its parts spontaneously move in circles. By contrast, rectilinear motion is that of a part separated from its whole. The cosmological significance of these remarks should be stressed. It is implicit but can be demonstrated by comparison with Copernicus’s De revolutionibus I 8, where the same distinction between the motion of the whole and that of its parts accounts for the difference between the natural circular motion of a planet, basically the earth, and the vertical fall of heavy bodies.87

Copernicus presented his considerations on natural and violent motions in De revolutionibus I 8, which is the chapter aimed at rejecting Ptolemaic and Aristotelian arguments against terrestrial motion. There Copernicus attacked the Aristotelian theory of natural and violent motion and sought to abandon the doctrine of natural places. Benedetti’s undertaking is very close, even though the cosmological theme has not emerged yet.

7.8 The Cosmological Perspective of the Physical Disputations

The cosmological dimension of Benedetti’s anti-Aristotelian discussion is documented in the last part of the Physical Disputations.

7.8.1 Physico-Mathematical Astronomical Issues

The astronomical-cosmological section begins (chap. 28) with a reflection on the sphere that goes against the opinion of Aristotle, ironically called Princeps Peripateticorum. Whereas the ancient philosopher regarded the circle as the “first plane figure” (prima figurarum superficialium) and the sphere, the form of the heaven, as the “first body” (prima corporearum figurarum, that is, the first three-dimensional figure), Benedetti claims that they are the “last” figures. In fact, they can be regarded as polygons with infinite sides: “the triangle is the first plane figure and the circle the last one.”88 He adds that the principium, the beginning and the origin of everything, is its center and those figures which equally encircle it in all directions can be said to be perfect. The author concludes as follows: “That which is perfect, although it is [qualitatively] first as to its essence [natura], is last as to its generation.”89 The circle, according to him, is perfect because it is, in a sense, an “infinite figure.” If one considers it as a polygon of infinite sides, one can say that the sum of its angles is equal to an infinite number of right angles. One can interpret this statement as follows: every polygon inscribed in a circumference can be divided into several triangles whose vertices touch the center of the circumference and whose bases coincide with the sides of the polygon. In the case of the circle, taken as the “last” polygon, the triangles decomposing it are infinite in number. Since the angles at the vertices are zero and the sum of all internal angles must be 180°, it follows that the angles at the base must be two square angles. Thus, Benedetti feels vindicated: “The circle and the sphere are not constituted of one single angle, as Aristotle believes […]. Rather, these are figures of infinite right angles. For that reason I call them last and perfect, because one cannot add anything to infinity.”90 To sum up this reasoning, Benedetti shares Aristotle’s opinion that the sphere is the perfect figure, but adduces geometrical-metaphysical reasons. For both authors the sphere is the form of the world (Benedetti would say, “of the caelum” surrounded by an infinite empty space) for aesthetic and metaphysical reasons.

In the following chapters, Benedetti reviews a series of astronomical and meteorological issues on which he accused Aristotle of being wrong. Chapter 28 deals with the sparkling of the stars, which is, according to Benedetti, the effect of the motion of heavenly transparent media (ab inaequalitate motus corporum diaphanorum mediorum nascitur).91 Among other things, Benedetti denies (chap. 30) that the warmth of the sun can be produced by its motion rather than by its light and subsequently (chap. 31) explains the seasonal variations. Chapter 33 reassesses, against Aristotle, the plausibility of the Pythagorean doctrine of celestial harmony. This has nothing to do with the production of sounds, nor with any harmonic proportions between the “aspects” of the heavenly bodies. Rather, it is the secret order imparted by to the world by divine providence.92 Chapter 33 comprises a lengthy discussion on meteorology, in which atmospheric phenomena are essentially explained through the variations of air density.

7.8.2 The Copernican Conclusion of the Physical Disputations

Chapter 35, Motum rectum curvo posse comparari (Straight and curvilinear motions are comparable), is a crucial chapter for our analysis, since it is here that Benedetti, almost at the end of his Physical Disputations, introduces the Copernican theory. Although we have already dealt with Benedetti’s astronomical views in the previous chapter, it is useful to recount here the most important features of his cosmology in the context of the philosophical section of the Diversae speculationes (IV) and add some more details.

The subject matter is the comparability of rectilinear and circular motion: “[Aristotle] is wrong when he says that straight motion cannot be compared to the curvilinear (Physics VII 4), where he mistakenly also says that one cannot find any lines equal to the circumference of a circle.”93 It is directed against Aristotle’s denial that a straight and a circular motion could be compared, thus hinting at the qualitative difference between celestial circular motions and the vertical tendency of the elements in the sublunary sphere. From a Copernican perspective, Aristotle’s words could be considered to be an implicit rejection of terrestrial motion. In fact, if the earth rotates, one should assume that the trajectory of a falling body is rectilinear for an observer on the earth but has a circular component as well, if considered in relation to the outside world.

Benedetti first appeals to Archimedes’s De quadratura circuli (On the quadrature of the circle) to argue that the circle and the straight line are comparable: “If, then, this quadrature can exist, there can also exist, for the reason already given, a straight line equal to the circumference of that circle.”94 Thus, a geometrical problem, the squaring of the circle, attains a direct cosmological meaning. If the issue at stake is the distinction between celestial and elementary motions, they are of course different, but this difference does not lie in the circularity of the former and the straightness of the latter, but rather in the uniformity of speed opposed to acceleration.

These considerations offer Benedetti the occasion to expand on the velocity of celestial motions. According to the commonly held opinion (secundum opinionem cummunem), the heavens would have to cover an immense distance within the 24 hours of the daily rotation. Close to the equator, the sun would cover 1,000 Italian miles per minute and Saturn 260,000 miles per minute, not to speak of the rapidity of the fixed stars. The assumption of this inconvenient velocity would of course be avoided if one assumed “the most beautiful theory” (pulcherrima opinio) of Aristarchus, “divinely” restored by Nicolaus Copernicus:

And as for the speed of the fixed stars situated near the equator, one may make one’s estimate, and, in fact, this will seem very difficult to some. But this difficulty does not occur in the most beautiful system of Aristarchus of Samos that has been so divinely expounded by Nicolaus Copernicus.95

From a Copernican perspective, the sun would cover “only” 48 miles per minute and Saturn 24, whereas the heavens would be stationary.

In the subsequent chapter (chap. 36), Benedetti reworks the doctrine of the doctissimus Aristarchus. It is entitled “Minus esse explosam ab Aristotele opinionem credentium plures mundos existere” (The view of those who hold that many worlds exist was not adequately refuted by Aristotle) and deals with the plurality of worlds. According to Aristotle, a universe with a plurality of worlds similar to the earth would be unstable and eventually collapse, since the earthly parts of the other worlds would fall toward the cosmological center and the fiery parts would eventually become part of the fiery sphere of our sublunary world. This Aristotelian objection is based on an a priori assumption of the theory of the natural places. It is therefore easy for Benedetti to contradict him by arguing that all worlds (that is, planets) would have their elements and their places.96

Apart from that, as we have already seen, Benedetti proposes a bizarre transformation of the Copernican system based on an analogy between the moon and the other planets. Like our satellite, all these light-mirroring and wandering bodies are supposed to turn around dark earths which, in turn, spin about their axis:

If the system of the learned Aristarchus is correct, it will be perfectly logical for that which takes place in the case of the Moon to take place also in the case of any of the five other planets. Thus, just as the Moon with the help of its epicycles revolves around the Earth as if on the circumference of a certain other epicycle of which the Earth is like a natural center (i.e., in the middle), carried around the Sun by the sphere of annual motion, so too may Saturn, Jupiter, Mars, Venus and Mercury revolve about some body situated in the center of their major epicycle. And this body, also having some motion about its axis, may be opaque, possessing conditions like those of the Earth, with conditions on the epicycle in question similar to those on the lunar epicycles described.97

This conception could provide an explanation for the existence of planetary epicycles, whose physical tenability has been already stressed in the disputatio 23. We could also regard these views of Benedetti as a cosmological reading of Copernicus focused on possible cosmological and physical consequences of the planetary theory. The plurality of worlds and the analogy between the moon and the planets are not the only innovative elements in comparison with the theses of De revolutionibus. After a section on the motion of light through the cosmic void (chap. 37) and one on the geometry of the elements (chap. 38), the conclusive section of the Physical Disputations (chap. 39) attacks a Peripatetic dogma: the unalterability of the heavens. In De caelo I 22 Aristotle remarked that no change in the heavens was ever observed. This is, according to Benedetti, not a valid argument. One should rather assume a principle of relativity of the point of observation. In fact, the earth would be invisible from the eighth heaven (that of the fixed stars), even though, by supposition, it was endowed with a light equal to that of the sun. The distance hinders us from perceiving changes that occur on other worlds.98

With this rejection of the distinction betwee a sublunary and a heavenly realm, Benedetti’s criticism of Aristotelian physics is complete. It should be noticed that this final objection hits at the core of the Peripatetic natural philosophy, since it is a denial of the fundamental distinction between a terrestrial and a celestial physics, on which the entire physics and cosmology of the Aristotelians relies.

7.9 An Evaluation: Benedetti’s Path to Natural Philosophy

The Disputationes de quibusdam placitis Aristotelis is a complex book within the larger book. It concerns at least three main fields of investigation: motion, the foundations of physics, and astronomy, in particular cosmology. It begins with a rejection of the theory of the natural places (violent and natural motion) based on an Archimedean relativization of heaviness and lightness as well as on a mathematical approach derived from the Euclidean theory of proportions. It deals subsequently with basic concepts of physics. It defines space and time anew as an absolute framework for the investigation of natural phenomena, in particular motion. This part of the Physical Disputations also aims at demonstrating actual infinity and the void, which are Democritean theses rejected by Aristotle in Physics and De caelo. The astronomical part then follows, which confronts many special issues and illustrates what we shall call a “post-Copernican cosmology.” Benedetti advocates the heliocentric system (albeit modified relative to the model of Copernicus’s De revolutionibus), the plurality of worlds, the inter-changeability of the observational viewpoint in the universe, and, last but not least, the homogeneity and continuity of the sublunary and the heavenly realm, contrary to one of the most fundamental assumptions of Aristotelian philosophy.

Let us summarize the Copernican considerations that could have influenced Benedetti and consider the extent to which he went beyond them. First of all, Copernicus abandons the theory of natural and violent motions because, “if anyone believes that the Earth rotates, surely he will hold that its motion is natural not violent.”99 Additionally, the daily rotation of the heavens is more absurd than that of the earth because it would be excessive compared to that required of the relatively small earth. A third Copernican remark concerns the infinity of space. It is directed against the Aristotelian assumption that there is nothing, “no space, no body, no void,” outside the heavens (dicunt quod extra caelum non esse corpus, non locum, non vacuum). Copernicus remarks that the axial rotation of the earth undermines the strongest argument in favor of cosmological finiteness: “For the chief contention by which it is sought to prove that the universe is finite is its motion.”100 As to the objections against the earth’s motion based on considerations of the effects to be expected for flying and thrown objects, Copernicus assumes, against Aristotle’s claim for the simplicity of motion, that things on Earth participate in the planetary motion and, therefore, the vertical displacement of light and heavy bodies (cadentium vero et ascendentium) is a composite motion (duplicem) relative to the whole (mundi comparatione), with a rectilinear and a circular component. Copernicus holds that only circular motion is natural and it does not only pertain to celestial bodies but also to the elements in their natural place. As we have seem, he defines rectilinear motion as the tendency of bodies to reach their whole if they have been separated from it. This vertical appetency is not uniform but accelerated. Copernicus also criticizes Aristotle’s opinion that bodies are heavy (or light) in their proper place, since weight depends exclusively upon the tendency of the part towards their whole.

Many of these Copernican ideas and suggestions appear also in Benedetti’s Physical Disputations: the rejection of the theory of natural places and of violent and natural motions, the excessive rapidity of the rotation of the heavens, the void, infinity, the naturalness of circular motion against the unnaturalness of the vertical motion of the parts separated from their whole, and the criticism of Aristotle’s assertion about the weight of the bodies in their natural place. However, it should be remarked that Copernicus does not expand on these ideas for the most part and cursorily presents them only for the sake of his apology for terrestrial motion. Benedetti’s treatment is much more explicit and, what is more, his motivations and presuppositions appear to be quite different. His Archimedean and Euclidean treatment of motion is the basis of his rejection of the distinction between natural and violent motions. No consideration of this kind is present in Copernicus’s work. Moreover, the reference to spatial infinity in De revolutionibus is limited to a remark. Copernicus himself does not explicitly support this thesis and leaves the discussion to the natural philosophers or, as he calls them, the physiologi. Actual infinity receives a substantially different treatment in Benedetti since it is closely related to the attempt to define space anew as intervallum corporeum. It is precisely this broad, natural philosophical dimension which is absent in Copernicus’s work and which, in our opinion, Benedetti did not derive from his reading of De revolutionibus or from general astronomical concerns. It seems, by contrast, that he was primarily interested in the physical issue of a mathematical treatment of motion and that the criticism of the Aristotelian philosophy led him in a quite natural way to also confront cosmology. Nor could issues like the void and atomism be reasonably derived from Copernicus. Even the planetary theory of Benedetti departs from De revolutionibus as it includes theses like the plurality of worlds and the corruptibility of the heavens. However, it is clear that the heliocentric and geokinetic theories fit perfectly into Benedetti’s worldview. In light of his general theory, as he writes, Aristotelian and Ptolemaic arguments against Copernicus’s theory appear extremely weak: “contra quam [doctrina] nil plane valent rationes ab Aristotele, neque etiam a Ptolomeo propositae.”101 Koyré wrote that Bruno’s La cena de le Ceneri (London, 1584) was the best defense of the Copernican system from a natural and physical point of view before Galileo’s Dialogo sopra i due massimi sistemi del mondo (Florence, 1632). However, this statement seems to underestimate the force of Benedetti’s Physical Disputations, which are perhaps less speculative than Bruno’s dialogues but should nonetheless be regarded as an extremely strong apology for the physical tenability of the Copernican system. A reciprocal influence between Bruno and Benedetti cannot be excluded, since the wandering philosopher from Nola stayed for a period in Turin and the Savoy around 1578 and probably participated in a debate concerning the comet of 1577.102 At any rate, the Diversae speculationes encountered much more acknowledgment among astronomers of the time than Bruno’s work. As we have seen, Brahe extensively quoted Benedetti both in his Epistolae astronomicae of 1596 and in his book on the nova of 1572. Kepler’s admiration for Benedetti was no less and was only equaled by his admiration for Commandino and Clavius.103 The proximity of many themes of the Diversae speculationes and those of the young Galileo are a well-known issue in the history of mechanics; in light of our discussion, it is plausible to assume that Benedetti’s influence on Galileo also concerned the insight into the close relation between the heliocentric theory and a new mechanics.104

Our analysis has shown that the heliocentric system is not the main issue at stake in the Physical Disputations, although that theory becomes part of a general program of reform for natural philosophy. Far from being a mere “Copernican enterprise,” Benedetti’s visionary project is much more complex. It is an ambitious attempt to build a new physics, in the wide Renaissance meaning of the term, out of a criticism of Aristotelian physics. Concerning Aristotle, it is clear that the princeps peripateticorum provides him with a model, albeit a negative one, in which the theory of motion, cosmology, astronomy, meteorology, natural philosophy, and metaphysics are closely interrelated. Benedetti’s undertaking is precisely a revision and a restructuring of these interdisciplinary ties on the basis of new insights and a mathematical approach. Although his investigation intentionally and explicitly departs from Peripatetic physics, it is historically possible only in the form of a thorough confrontation with Aristotelian themes. Indeed, the Physical Disputations have the form of a dispute on Aristotelian places. Benedetti’s familiarity with Aristotle’s Physics, De caelo, and Meteorologica should also be underscored. This apparently contradictory aspect of early modern physics in its ambiguous relation to Aristotelianism has already been stressed by Anneliese Maier in her studies on the medieval contributions to classical science.105 In a sense, the development of a new physics required a thorough confrontation with Aristotle and his concepts, as also the examples of Bruno and Galileo bear witness to in different ways.

Footnotes

Paolo D’Alessantro and Pier Daniele Napolitani have emphasized the impact of its sixteenth-century reedition in their studies on the Latin reception of Archimedes: “Nel 1544 usciva a Basilea l’editio princeps greco-latina di gran parte dei testi di Archimede oggi noti. Senza tema di esagerare, si può sostenere che questo avvenimento – al pari della pubblicazione del De revolutionibus orbium coelestium di Niccolò Copernico, apparso l’anno precedente a Norimberga – abbia fornito impulso alla nascita della scienza moderna.” D’Alessandro and Napolitani 2012, 9.

As has been argued in Exploring the Limits of Preclassical Mechanics, the wider conceptual framework of Archimedean theories of motion was in fact deeply rooted in Aristotelianism. See Damerow et al. 2004.

Drake and Drabkin 1969, 198. Cf. Benedetti 1585, 169: “Quotiescunque igitur duo corpora unam eandemque resistentiam ipsorum superficiebus, aut habebunt aut recipient, eorum motus inter seipsos eodem plane modo proportionati consurgent, quo erunt ipsorum virtutes moventes: et e converso, quotiescunque duo corpora unam eandemque gravitatem, aut levitatem, et diversas resistentias habebunt, eorum motus inter seipsos eandem proportionem sortientur, quam habebunt eorum resistentiae converso modo […].”

It should be remarked that this algebraic rendering of Benedetti’s thoughts does little justice to contemporary efforts to represent functional dependencies among different magnitudes with the help of the available mathematical techniques, such as compound proportions, as will become clear from the following discussion; see also Damerow et al. 2004.

In this passage, Benedetti employs the word pondus, but in the discussion he also talks of “lightness”; therefore, we prefer to use the term virtus movens or, more briefly, virtus, which is the term used by Benedetti.

See Benedetti 1585, 174: “dictis corporibus subtrahitur proportio resistentiarum extrinsecarum.” For a discussion of Benedetti’s employment of the termini ‘pondus,’ ‘densitas,’ and ‘resistentia,’ see Helbing 1987, 155–168.

The details, the text, and the notes in the English edition by Drake and Drabkin are clear enough, so we will not expand on these aspects here.

It corresponds to the above-mentioned equation: \frac{V1}{P1} = \frac{V2}{P2}.

Drake and Drabkin 1969, 198. See Benedetti 1585, 169: “Corpus illud quod alteri comparatum, aequalis erit ponderis, aut levitatis, sed minoris resistentiae, existet velocius altero, in eadem proportione, cuius superficies resistentiam suscipit minorem ea quae alterius est corporis, ratione facilioris divisionis continuitatis aeris, aut aquae […].”

Drake and Drabkin 1969, 205. See Benedetti 1585, 174 (emphasis is ours): “In pleno dictis corporibus subtrahitur proportio resistentiarum extrinsecarum a proportione ponderum, ut velocitatum proportio remaneat, quae nulla esset, si dictarum resistentiarum proportio, ponderum proportioni aequalis esset, et hanc ob causam diversarum velocitatum proportionem in vacuo haberent ab ea, quae est in pleno.”

The same concept of addition and subtraction of ratios can be found in the manuscripts of Thomas Harriot, who called them “compositio” and “subductio” (or “compositio contraria”). See for instance Schemmel 2008, 635, reference letters g and o.

See Drake and Drabkin 1969, 206, n. 119: “Benedetti asserts that the speeds are equal only in the void, on the ground that in a plenum there would be an additional frictional resistance that would disturb this equality (unless this resistance itself were proportional to the weights of the bodies: Ch. 11).”

Apart from Koyré 1986, see also Drabkin, “Introduction” to Galilei 1960, 9–10.

The ongoing debate between Galileo and Del Monte on the possibility of developing a mathematical dynamics is seen in Galileo’s letter of November 29, 1602: “V.S. Ill.ma scusi la mia importunità, se persisto in voler persuaderle vera la proposizione dei moti fatti in tempi uguali nella medesima quarta del cerchio; perché essendomi parsa sempre mirabile, hora viepiù mi pare, che da V.S. Ill.ma vien reputata come impossibile: onde io stimerei grand’errore e mancamento il mio, s’io permettessi che essa venisse repudiate dalla di lei speculazione, come quella che fusse falsa.” See Galilei 1968, 97.

On the medieval debates on the void and on the historical place of Galileo, and Benedetti before him, see Grant 1981, 60–66.

Bruno 2000a, 348: “[…] perché questo spirito, questo aria, questo etere non solamente è circa questi corpi, ma ancora penetra dentro tutti, e viene insito in ogni cosa.”

On his intellectual stature and achievement, see Schemmel 2008, who stressed that Harriot’s unpublished manuscripts reveal that his research activity was similar to that of Galileo in the same years. Moreover, Harriot’s reflections on infinity and the minimum bear witness to his familiarity with the work and ideas of Bruno. See Fox 2000 and Henry 1982.

For an overview of English science in that period, see Hill 1997, 15–76 and 118–200.

On medieval and early-modern corpuscular matter theories, see Lüthy, Murdoch, and Newman 2001. On Galileo, see Galluzzi 2011.

Galilei 1960, 47. See Galilei 1968, vol. I, 282: “[…] et ita non est necessarium, motum in vacuo fieri in instanti, sed in tempore minori quam sit motus in quovis pleno.”

Thus, Galluzzi’s remarks on the scientific production of the young Galileo could be conveniently extended to Benedetti (Galluzzi 2011, 19): “Il laboratorio del De motu antiquiora servì a Galieo per prendere definitivamente coscienza che la cosmologia e la fisica aristoteliche non potevano essere riformate con interventi limitati ad ambiti di indagine circoscritti. In particolare, lo scritto pisano evidenziava la raggiunta consapevolezza dell’importanza strategica di una radicale riforma della concezione aristotelica del movimento. Era questo, tra l’altro, l’ostacolo più serio da superare perché potesse essere accolta la visione copernicana, intesa non come semplice ipotesi matematica, ma come dottrina fisica. […] Né si può escludere che abbia tratto anche da esse [da tali problematiche] l’impulso per dedicarsi, con l’impegno proprietario esibito dai documenti dell’attività giovanile, all’impresa ambiziosa di una radicale riforma della concezione tradizionale del movimento e della struttura della materia.”

Benedetti 1585, 180: “Sed intervalla corporea aequalis a quavis figura terminata, continebunt semper corpora aequalia.”

Benedetti 1585, 181: “Et hoc modo nullum est corpus, quod in mundo aut extra mundum (dicat autem Aristoteles quicquid voluerit) locum suum non habeat.”

Drake and Drabkin 1969, 198. Cf. Benedetti 1585, 180: “Quod si locus intervallum esset, infinita loca existerent […] inconveniens [non] existit, quia eodem plane modo quo aliquod corpus potest esse infinita corpora (quod ipse diceret in potentia), sic etiam intervallum aliquod posset esse infinita intervalla.”

Piccolomini 1585, I 3, chap. 5, f. 44r: “Altri filosofi sono stati poi, et non già minimi, ma di gran fama, che han voluto che tra le cose della natura, si trovi spatio voto, non solamente distinto per sua natura dai corpi ch’egli riceve; ma intanto separato da quelli, che ignudo in tutto, et attualmente spogliato ne può restare. Né son mancati molti, che cotale spatio, voto in tutto d’ogni corpo, han posto, non solo meschiato, et interposto tra le cose che sono al mondo, e tra le parti loro; ma ancora fuor dei Cieli, infinitamente han creduto che si distenda. Questi filosofi adunque per il voto intendevano quella cosa, che non solo fusse privata d’ogni corpo et d’ogni sostanza […] ma fosse ancora atta, et capace, a ricevere i corpi, et dar lor luogo, il che delle linee, et de punti, et altri accidenti, non avviene. Tra le ragioni principali, che gli spingeva a credere una tal cosa, l’una era questa nella qual dicevano, che se non si potesse trovare tra le cose della natura spatio alcuno, o luogo voto d’ogni corpo; allora, se bene il movimento dell’alteratione potrebbe forse restare al mondo, tuttavia il movimento di luogo a luogo, non potrebbe senza ’l voto restar giammai. Conciosia c’havendo bisogno quella cosa, che ha da muoversi ad alcuno altro luogo, di alcuno spazio di mezo, per il quale si muova; se cotale spatio non fosse voto, saria forza che essendo pieno di altro corpo, nel passar per quello spatio pieno, venissero a penetrarsi più corpi insieme; adunque è cosa al tutto impossibile.”

Benedetti 1585, 180: “maximum inconveniens sequeretur, scilicet aequales locos capere inaequalia corpora, aut corpora aequalia, locos inaequales occupare.”

Benedetti 1585, 181: “Sed peius etiam sensit Aristotles eodem loco capitis quinti lib. 3 Physicorum, negando infinitum posse connumerari inter quantitates, dicens unam aliquam quantitatem intelligi ut cubitum, tricubitum, et cetera; ubi non considerat eadem etiam ratione intelligi posse aliquam quantitatem infinitorum cubitorum, et in quantitatis definitione nullam esse necessitatem terminorum, ut exempli gratia in definitione numeri, non est necessitas alicuius determinati numeri, quia multitudo, non minus infinita, quam finita, intelligi possit.”

Benedetti 1585, 181: “Ubi postea cap. 8 lib. 4 Physicorum ait nullam esse differentiam inter infinitum, et vacuum, revera nihil absurdius hoc dicere fingereve poterat.”

Plato Timaeus 37C–39E

Augustine 1988, XI 14, 265: “aliud sit motus corporis, aliud quo metimur quamdiu sit.”

Benedetti 1585, 183: “Tempus non erit mensura motus, sed motus quidem potest mensurare motum, videlicet velocior minus velocem, et brevior longiorem; et numerus mensuratur numero, et tempus tempore in quantum longum est, aut breve, non in quantum velox, aut tardum.”

Benedetti 1585, 182: “Si alicui videtur, quod ad significandam aliquam quantitatem motus, dicere huiusmodi operationem duarum horarum, aut duorum dierum, aut duorum annorum spatio completam esse, sit ponere tantum tempus, animadvertere debet hoc simpliciter non esse verum, quia horarum, dierum, et annorum intervalla, imaginatione concipiuntur ut motus corporum caelestium, sine quibus neque anni, neque dies, neque horae existerent, etiam si omnis motus sit (ut ita dicam) locatus in tempore, ut corpore in loco, unde motus motu, et tempus tempore, non autem aliud ab alio mensuratur.”

Benedetti 1585, 182: “Tempus ex necessitate, philosophice tamen loquendo, res est aeterna, motus non item.”

Benedetti 1585, 182: “Tempus igitur potius locus motus erit dicendum, quam numerus aut mensura eius, et tale est, ut consumatum videatur a continuo quodam fluxu unius instantis […] et cum dico ab uno instanti, unum in specie, et non in numero intelligo, quod a sensibus nostris percipi non potest, neque etiam notari, quia novum semper instans nobis occurrit.”

Benedetti 1585, 183: “Quemadmodum corpus densum occupat minus intervallum loci, contra quam fiat in corpore raro; sic etiam motus velox breviori temporis spatio peragetur, quam tardus.”

Cardano 1966, vol. 3, 651: “Cur somnium tempus longius multo ostendat quam sit.”

Cardano 1966, vol. 3, 651: “Contraria ratione tempus in somnio contrahitur, cum vel non somniamus […]: motus enim tempus est mensura.”

Cardano 1966, vol. 3, 651: “Sed quid tempus est? Cuius cum nihil unquam sit, omnia tamen in illo sint et semper omnibus assistit. Illud idem omnia generat et occidit, auctor vitae ac mortis. Utque illius expectatio longissima, ita semper memoria brevissima. Cumque nos semper comitetur, nunquam ipsum tamen agnoscimus. Nec cum eius tanta sit copia, reparatio tamen ulla conceditur: unde fit, ut nullius alterius rei iactura sit maior et vilior.”

Augustine 1988, XI 14, 238: “Quid est ergo tempus? Si nemo ex me querat, scio; si querenti explicare velim, nescio.”

Cardano 1966, vol. 3, 651: “Ergo nos non tempus, sed quod in eo fit, factumque est, atque manet, comprehendimus. Tempus vero ipsum per se est sensui ignotum: nam imaginatione constat quod a nobis cognoscitur.”

Scaliger 1557, f. 458v: “Hoc quidem ab omnibus iactatur: pauci introspectant.”

Scaliger 1557, f. 458v: “Nostri sane motus mensura sit: primi motus mensura non erit.”

Scaliger 1557, f. 458v: “At tempus est posterius motu primo. Est nimirum affectus eius, ab illo pendens.”

Scaliger 1557, f. 458v: “Tempus, inquit, aut est idem, quod motus, aut affectus eius.”

Scaliger 1557, f. 458v: “Tempus esse mensuram motus, et vicissim motum mensuram temporis.”

Scaliger 1557, f. 458v: “[…] dicimus tot partes aequinoctialis tanto moveri tempore.”

Scaliger 1557, f. 458v (punctuation and emphases have been standardized and modernized): “Quia tempus tantum est, quantus est motus inter ‘ubi’ et ‘ubi’ in loco. Iccirco ‘ubi’ quod pro tempore usurpamus, transumptum est, haud iniuria, ab eo ‘ubi’ quod est vere loci. Erit ergo tempus nunc fluens; et locus erit ubi continuatum.”

Scaliger 1557, f. 458v: “Cum enim tempus sit quantitas, nihil agit.”

Scaliger 1557, f. 458v: “[…] vita nostra est actus animae: in quem nihil habet tempus aut iuris, aut imperii.”

Piccolomini 1585, I 3, chap. 7, ff. 52v–53r: “Di qui è, che’l tempo, c’ha da esser la misura di tutti i movimenti, bisogna che principalmente si applichi a misurare alcun movimento regolato sopra tutti gli altri, mediante il quale possa poi far da misura de gli altri tutti, che tal regola […] non hanno nelle parti loro. E tal movimento […] essendo […] quello del primo Cielo: si deve concludere, che’l tempo sia come in proprio soggetto da lui primamente misurato, nel detto movimento del mobil primo: mediante il quale, regolandosi tutti gli altri movimenti: ragionevol cosa sarà, che’l tempo, se ben si può chiamar regola, et misura d’ogni movimento, come di sopra habbiam lungamente detto, tuttavia egli non si multiplichi con la multiplicatione delli movimenti, ma resi uno stesso per tutto il mondo, sì come uno solo è quel movimento primo, che è il proprio, et vero soggetto suo.”

Benedetti 1585, 183: “[…] ut accidit lineae directionis, & retrogradationis planetarum, unde circulus uan erit ut epiciclus et b ut terrae centrum.”

Pierre Duhem pointed out the tension between physical and mathematical astronomy, albeit in a very inadequate way. See Duhem 1908. For a better understanding of the matter, see Di Bono 1990.

Piccolomini argues as follows: “Non è a punto manco sconvenevole il concedere cotale infinità in qual si voglia corpo semplice, che o salendo, o scendendo si muova per retta linea; che si sia veduto disopra esser di quello che in circolo si rivolge. Percioche essendo il partirsi salendo dal mezo dell’universo, e’ l venir discendendo a quello, che movimenti di luogo a luogo tra di lor contrarii: e ricercando li contrarii movimenti, luoghi contrarii parimenti; confessaremo esser opposti tra di loro il luogo disopra e questo qua giù da basso. E perché sempre tra due contrarii, se l’uno e per natura sua finito, e determinato, non sopporta il giustissimo governo della natura, che l’altro sia infinito e senza termine, secondo che discorrendo per tutte le contrarietà si può vedere.” See Piccolomini 1585, II 2, chap. 3, f. 24v.

One can compare the text of Benedetti, Diversae speculationes, disp. XXV, with that of Copernicus, De revolutionibus, I 8. The latter wrote: “Igitur quod aiunt, simplicis corporis esse motum simplicem (de circulari in primis verificatur) quamdiu corpus simplex in loco suo naturali, ac unitate sua permanserit. In loco, siquidem non alius, quam circularis est motus, quo manet in se totus quiescenti similis. Rectus autem supervenit iis, quae a loco suo naturali peregrinantur, vel extruduntur, vel quomodolibet extra ipsum sunt. Nihil autem ordinationi totius et formae mundi, tantum repugnat, quantum extra locum suum esse. Rectus ergo motus non accidit, nisi rebus non recte se habentibus, neque perfectis secundum naturam, dum separantur a suo toto, et eius deserunt unitatem.”

Benedetti 1585, 185: “Quod autem perfectum est, licet natura sit primum, est tamen ultimum generatione.”

Benedetti 1585, 185–186: “Circulus sphaeraque non ex uno solo angulo recto constat, ut idem Aristoteles putat […] sed sunt figurae infinitorum angulorum rectorum, et hanc ob causam a me dicuntur ultimae et perfectae, quia infinito nihil addi potest.” The authors would like to thank here Irina Tupikova for suggesting this interpretation of Benedetti’s argument.

The Pythagorean harmony was ridiculed by Alessandro Piccolomini among others. See Piccolomini 1585, II 4, chap. 12, “Del suono, et armonia, che i pitagorici pensavano, che nascesse per li movimenti de’ corpi celesti,” f. 105v: “[…] Quando i corpi celesti movendosi facesser suono avvenir dovrebbe a noi poscia che da si alto, et soverchio strepito, et sproportionato all’odito nostro quasi assordati, né quello né altro suono che qua giù si faccia, odire in modo alcuno dovremmo giamai. Per la qual cosa essendo manifesto che tante diversità di strepiti, che tra questi corpi inferiori si fanno, ancora che piccolissimi sieno, son da noi odite distintamente, è forza dire, per la ragione ultimamente fatta che né suono, né armonia, non può causarsi per li movimenti de gli Orbi, o delle stelle che volgendosi faccin la su in cielo.”

Benedetti 1585, 194: “[Aristoteles] recte dicere non potest motum rectum ad curvum comparabilem non esse 4. cap. lib. 7 Physicorum ubi errat quoque dicens reperiri non posse lineam aliquam rectam alicuius circuli circunferentiae aequalem.”

Drake and Drabkin 1969, 220. Cf. Benedetti 1585, 194: “Si igitur dicta quadratura dari potest, potest etiam dari una recta linea aequalis circunferentiae eiusdem circuli.”

Drake and Drabkin 1969, 221. Cf. Benedetti 1585, 195: “Et amplius de stellis autem fixis circa aequatorem posits quivis cogitet; quod revera difficillimum quibusdam videbitur, quod quidem non occurrit secundum pulcherrimam Aristarchi Samii opinionem, divinitus a Nicolao Copernico expressam, contra quam nil plane valent rationes ab Aristotele, neque etiam a Ptolomeo propositae.”

Drake and Drabkin 1969, 222. Cf. Benedetti 1585, 195–196: “Si doctissimi Aristarchi opinio est vera, rationi quoque consentaneum erit maxime, ut quod Lunae contingit, cuilibet etiam ex aliis quinque planetis eveniat, idest, ut quemadmodum Luna suorum epicyclorum ope circum terram volvitur, quasi per circunferentiam alterius cuiusdam epicycli, in quo terra sit instar centri naturalis (idest sit in medio) delati ab orbe annuo circa Solem; sic etiam Saturnus, Iupiter, Mars, Venus, atque Mercurius, circum aliquod corpus in medio sui epicicli maioris, situm habens, volvantur; quod quidem corpus, et aliquem quoque habeat motum circa suum axem, sit opacum, iis conditionibus, quae terrae sunt similes, praeditum existat, et in dicto epyciclo sint res similes istis lunaribus.”