13 Radio Astronomical Measurements of Interest to Cosmology

A. E. Lilley

DOI

10.34663/9783945561294-19

Citation

Lilley, A. E. (2011). Radio Astronomical Measurements of Interest to Cosmology. In: The Role of Gravitation in Physics: Report from the 1957 Chapel Hill Conference. Berlin: Max-Planck-Gesellschaft zur Förderung der Wissenschaften.

With the discovery of radio radiation of galactic origin in 1932 by Karl Jansky, this new science of radio astronomy has rapidly matured and already has produced measurements which are of interest to cosmologists. This afternoon we shall take up several of these, and in particular discuss those radio astronomical measurements which have or may produce data of quantitative significance for cosmologists; however, before examining these measurements in detail, let us review briefly the appearance of the radio sky as evidenced by the radio data. We may conveniently divide the radio radiation into two components: that originating from an apparently continuously distributed source and that originating from discrete sources, the so-called radio stars. The continuous radiation field displays a distribution on the celestial sphere which concentrates itself toward the plane of the Milky Way. It reaches maximum intensity in the Sagittarius region, which contains the nucleus of our galaxy. The variation of intensity with wavelength is such that the longer the wavelength the greater the observed intensity. This radiation component therefore is of non-thermal origin. Superimposed on the continuous radiation field are the radio stars. It is the analyses of the radio star studies which have been made to date which we shall consider first as one example of radio astronomical measurement of cosmological interest.

Extensive surveys have been made of radio stars, and these surveys continue currently. The survey data produce positions and apparent intensities of the radio stars. Approximately 2,000 discrete sources have been observed with current instruments. This number will undoubtedly increase as instrumentation improves.

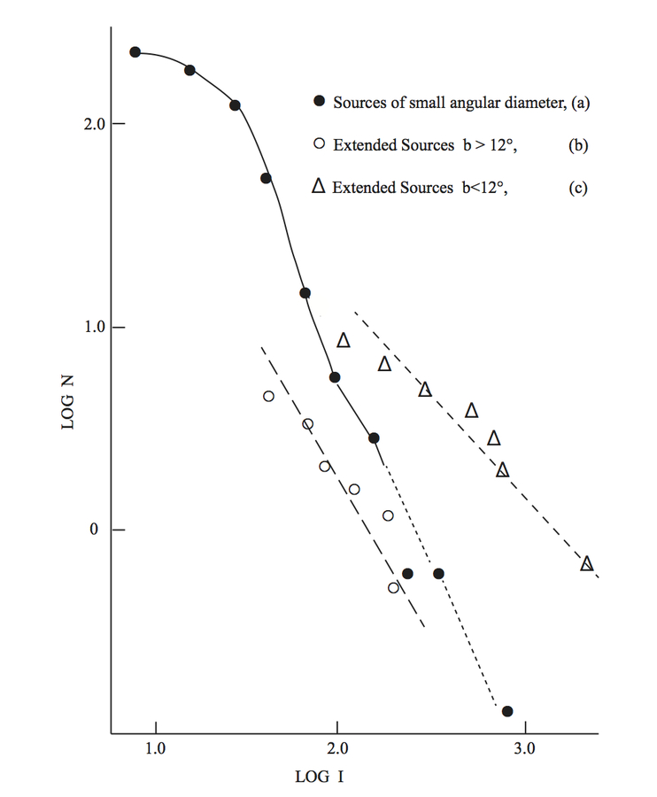
If we assume that the radio sources have a constant luminosity, or, obey some regular luminosity function which does not vary with distance, the distribution of radio sources throughout the observable universe may be inferred from the survey data. We may write down how the number of observed radio sources per unit solid angle will increase with decreasing apparent intensity if one is viewing a universe having an isotropic distribution. The number of observed sources having an intensity greater than is plotted against intensity and the resulting curve is compared with the curve which would result from an isotropic distribution. On a versus plot, an isotropic distribution would produce a straight line having a slope of .

Fig. 13.1: Curves of against , where is the number of sources per unit solid angle having a flux density greater than .

Fig. 13.1: Curves of against , where is the number of sources per unit solid angle having a flux density greater than .

Ryle and Scheuer of Cambridge analyzed the first such survey data which involved a statistically significant sample of radio sources. The slide shows the observed distribution of radio sources over the sky displayed in galactic coordinates. The circular region in which no radio stars appear is simply the region inaccessible to observation. The next slide which is, as the first, taken from the work of the Cambridge group, displays the versus behavior of the data. You will note that as the data proceed toward decreasing intensity, the actual plot shows that there is an apparent accumulation of radio stars which is more rapid that one would expect from an isotropic distribution. The interpretation placed upon the observed curve by the Cambridge group suggests that there is an increasing density of radio stars with increasing distance from the neighborhood of our galaxy.

This will suggest departures from an isotropic and uniform universe and the results, if valid, are not consistent with a steady-state universe. However, the interpretation of this curve has been discussed by Bolton, who has suggested that when one has observational errors which increase with decreasing intensity, even an isotropic distribution can produce a curve of the form shown in the slide.

In addition to the interpretative difficulty pointed out by Bolton, observational conflict now exists. A similar observational survey has been conducted by Mills in Australia with a different type of antenna system; and this system also possesses a greater sensitivity than the Cambridge instrumentation. Where the surveys of the Australian and Cambridge workers overlap, and where a detailed intercomparison can be made, the agreement between the separate surveys has been disappointing. In addition, the versus analysis by Mills shows no significant departure from the curve until the approximate sensitivity limit is reached where the curve does display some increase; however, this faint limit increase is very suggestive of the effect pointed out by Bolton.

Thus, the analysis of radio star data in quest of their distribution throughout space has resulted in observational conflict. Since this topic is of considerable interest to the next speaker, Dr. Gold, I will leave its further discussion to him.

Let us now discuss several possible measurements which can be made by employing microwave spectral lines which originate in the gases which compose the interstellar medium. Although others are expected, only one such line has been successfully detected and studied to date - the hyperfine transition originating in the ground-state of atomic hydrogen. This transition occurs in the microwave domain near a wave length of 21 cm. As the first surveys of this radiation in our galaxy were nearing completion, consideration was given to the possible behavior of the spectral line profile in directions which contain radio stars. Although the line predominantly appears in emission distributed around the galactic plane, the first observations in radio star directions revealed the line in absorption.

An analysis of the absorption effect shows the absorption studies to be extremely high resolution investigations of the interstellar gas. Minimal distances to radio stars and observations of small-scale turbulent structure of the interstellar medium were early consequences of the absorption studies. The ability of the absorption effect to make extremely high resolution studies of the interstellar medium will probably prove more valuable than utilization of the data for measurement of radio star distances.

The absorption lines produced in the continuum of radio stars are sensitive to the size of the antenna which views the gaseous assembly. By employing larger antennas and looking for absorption lines in the spectra of the radio stars, we ultimately hope to observe other gaseous components of the interstellar medium. A transition in deuterium at a frequency of 327 mc and in the hydroxyl radical at a frequency of 1667 mc are examples of new lines which may ultimately be detected by larger radio telescopes. With the development of a new type of microwave receiver of vastly improved sensitivity, the so-called solid-state maser, we may confidently expect detection of other gaseous components in the interstellar medium. When such lines are detected, radio astronomy will provide a few numbers in the tables of cosmic abundance.

Of considerable interest to cosmologists is the size of the observable sample universe. Let us briefly compare the size of the universe available to radio astronomical measurements with the size available for optical examination. Two billion light years may be taken as a measure of the limiting distance at which objects are detectable by the Hale telescope. This is a measure of the limiting distance without electronic aids. We may compare the optical 2 billion light year figure with a hypothetical radio case. Restricting our attention to the detection of radio flux (neglecting for the moment red shift corrections) a diameter parabolicradio telescope equipped with a conventional microwave receiver could detect a radio star of the Cygnus A type at a distance of 8 billion light years. If the antenna were equipped with a solid-state maser, the maser would overcome some of the red-shift flux reduction and fruitful measurements could be made at distances significantly beyond the range of 2 billion light years.

Another topic of interest to cosmologists and of interest to workers employing the hydrogen line is the possible existence of hydrogen gas in the intergalactic medium. Unfortunately, the intergalactic gas is probably ionized, and the time for recombination is expressed in billions of years. However, it is of interest to ask what density could be detected in the intergalactic medium if it were neutral form. We would search for an absorption line in the spectrum of an extragalactic radio source. The minimum detectable density is of the order

where is Hubble's constant, is the sensitivity limit of the microwave radiometer, is the state temperature of the intergalactic gas and is the antennatemperature of the extragalactic source. Taking as an example the antenna equipped with a solid state maser and using the Cygnus A source as a test object, the corresponding minimum detectable density is about gm/cm . This number refers only to the unionized component (if any) in the intergalactic medium.

It also refers to average regions of intergalactic space which are well removed from rich clusters of galaxies. The density of material distribution in the confines of rich clusters of galaxies could not be regarded as indicative of the average mean density throughout intergalactic space. However, the contribution to the average density by the clusters is most important, and measures of the cluster masses are required.

Heeschen has succeeded in detecting emission from hydrogen gas in the Coma cluster of galaxies. This is presumably gaseous emission from the “cluster medium.” The emission results indicate that the gaseous mass of the cluster medium is of the order the total mass of the cluster. Measurements of 21 cm emission from clusters of galaxies may revise and strengthen our estimates of the mean density of material in the universe.

Finally, we shall take up the measurement of the red shifts of extragalactic objects by radio techniques. The identification by Baade and Minkowski of the Cygnus A radio star as a pair of galaxies in collision produce a strong out-pouring of radio energy. The radio intensity of the galaxies in collision is enhanced by a factor of the order compared to the normal radio intensity of isolated galaxies. In such colliding galaxies, it is possible that peripheral gases not yet involved in the collision contain atomic hydrogen gas. This gas would absorb part of the radio continuum originating in the collisional zone thereby producing an absorption line in the continuous spectrum. The optical studies of Baade and Minkowski showed that the Cygnus A system has a red shift indicating a recessional velocity of approximately 17,000 km/sec. The corresponding shift of the hydrogen line would be a decrease of about 81 mc from the rest frequency of 1420 mc. This line was sought and found by investigators at the Naval Research Laboratory in Washington, who used a 50' antenna. Although this first measurement was crude, it revealed that the microwave Doppler displacement was, within the limits imposed by experimental error, identical for optical and microwave determinations. This is what the result must be if the universe is expanding.

With the increasing distances available for observation in radio astronomy, the possibility of making red shift measurements on Cygnus A type systems well beyond the two billion light year range suggests itself. Measurements such as this may ultimately prove of considerable value in determining the exact shape of the red shift curve with distance which, as you will hear in Dr. Gold's talk, is a means for testing models of the universe.

Although radio astronomy is in its first stage of development, it is already evident that this new endeavor can produce measurements of considerable interest to cosmology.